Hücre çamurluğu için ağırlık zincirlerinin tasarımı
geçerli yer: Ev » Haberler » Hücre çamurluğu için ağırlık zincirlerinin tasarımı

Hücre çamurluğu için ağırlık zincirlerinin tasarımı

Görüntüleme sayısı:0     Yazar:Bu siteyi düzenle     Gönderildi: 2022-06-01      Kaynak:Bu site

Sor

facebook sharing button
twitter sharing button
line sharing button
wechat sharing button
linkedin sharing button
pinterest sharing button
whatsapp sharing button
sharethis sharing button

için ağırlık zincirlerinin tasarımı Hücre çamurluğu

Özet: Bu makale, hücre çamurluğu için ağırlık zincirlerinin tasarım prosedürünü açıklamaktadır.Ağırlık zincirlerinin seçimi ve yerleşimi, ağırlık zincirlerinde gerilim hesaplama yöntemi vb.

Anahtar kelimeler: lastik çamurluk , ön çerçevesi , ağırlık zinciri, lastik esnek zincir, ağırlık zincirinde gerginlik


Hücre tipi kauçuk çamurluk sistemi esas olarak hücre tipi kauçuk çamurluk gövdesi ve darbe önleyici plakadan oluşur.Darbe plakası, kauçuk çamurluğun ön ucuna monte edilmiştir. Çelik yapı aksesuarları, geminin etkisine dayanmak için kullanılır ve kauçuk çamurluğun gemi üzerindeki yüzey basıncını azaltmak için kauçuk çamurluk ile gemi arasındaki temas alanını arttırır. .Normal koşullar altında, hücre kauçuk çamurluğu, çarpma plakasının ağırlığını destekleyebilir.Bununla birlikte, çarpma önleyici plakanın ağırlığı, tablo I'de belirtilen izin verilen statik yükü aştığında veya kauçuk çamurluk spesifikasyonu 2000H'yi aştığında, kauçuk çamurluk sisteminin normal çalışmasını sağlamak için aşağıda gösterildiği gibi bir yerçekimi zinciri kurulmalıdır. şekil I.

Şekil I

Ağırlık zincirlerinin düzeni

Ağırlık zinciri genellikle çarpma plakasının yerçekimi altında hücre tipi kauçuk çamurluk silindirinde düzenlenir, kauçuk çamurluğun bir ucu her iki tarafta, zincirin bir ucu darbe plakasına sabitlenir ve diğer ucu sabitlenir. Şekil I'de gösterildiği gibi sahil duvarı

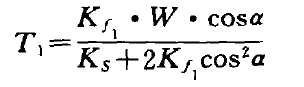
Ağırlık zinciri gerginlik hesabı

T=T1+T2

Ayarlamak

W: Darbe plakasının ağırlığı

Ks: çamurluğun kesme elastikiyet katsayısı

Kf: Lastik yay zincirinin elastik katsayısı

α : Lastik yay zinciri ile Z ekseni arasındaki açı

β : Lastik yay zinciri ile X ekseni arasındaki açı



Haber bültenimize Abone Ol

Yeni ürünler ve yaklaşan indirimlerle ilgili en son güncellemeleri alın
China Marine Rubber (Qingdao) Industrial Co., Ltd (CMR), Çin'de deniz kauçuk çamurlukları ve mühendislik kauçuk ürünlerinin profesyonel bir üreticisidir.

HIZLI LİNKLER

ÜRÜN:% S

BİZE ULAŞIN

 : +86-18766396886
 : +86-13953283589
Adres  : Jiaobei Sanayi Bölgesi, Jiaozhou, Qingdao, Çin
Telif hakkı © 2022 China Marine Rubber (Qingdao) Industrial Co.,Ltd.  Site Haritası | 鲁ICP备2022012721号| teknolojiLeadong.com'dan